网站首页
海图概况
数字资源
服务指南
读者园地
共享工程
联系我们
请选择类别
海图荣誉
海图记事
借阅规则
图书馆百问
读者活动
读者作品展
志愿者服务
地方文化
海城文化名人
馆藏特色
网上展厅
分馆建设
海图动态
培训讲座
媒体报道
业务研究
海图简介
海图荣誉
海图职能
海图记事
历史沿革
机构构成
海图人员
本馆建筑
历届馆长
馆藏分布
借阅规则
图书馆百问
开馆时间
读者活动
读者咨询
读者作品展
作品征集
志愿者服务
工程动态
阳光少年
农业天地
进城务工
1
2
3
4
海图概况
海图简介
海图荣誉
海图职能
海图记事
历史沿革
机构构成
海图人员
本馆建筑
历届馆长
工程动态
阳光少年
农业天地
进城务工
海图荣誉
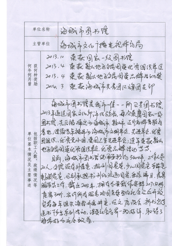
2015年2月荣获2013-2014年度海城市先进集体
海城市数字化图书馆
http://www.hclibrary.cn/
发布时间:2015-04-16
相关信息
2025年10月海城市图书馆在鞍山市第五届朗读大赛活动中荣获“优秀组织单位”
2025年10月20日在鞍山市第三十八届马良杯书画大赛中荣获优秀组织奖
2025年9月荣获辽宁省图书馆第六届少年儿童故事征集活动优秀组织单位
2025年4月荣获鞍山市第十三届全民读书节“优质阅读空间”
2025年4月海城市图书馆被海城市委宣传部评选为“优质阅读空间”
友情链接:
中国国家图书馆
|
辽宁图书馆
|
鞍山图书馆
|
大连图书馆
|
丹东图书馆
|
沈阳市图书馆
营口图书馆
|
海城市政府
|
中央网信办违法和不良信息举报中心
|
辽宁省互联网违法和不良信息举报中心
|
鞍山互联网违法和不良信息举报入口
|
我的图书馆
|
海图记事
|
专题资源
|
文件下载
|
网站地图
|
微博入口
|
续借
版权所有:海城市数字化图书馆
办公室电话:网络举报电话:0412-3232915 地址:海城市兴海大街长江路11号南楼(繁荣路与长江路交叉口) 邮箱:hcstsg@163.com
备案许可证号:
辽ICP备2025063545号-1
访问人数:505993人
辽公网安备 21038102000180号